Previous Section
 < Day Day Up > 
Next Section


22.4 Topological sort

This section shows how depth-first search can be used to perform a topological sort of a directed acyclic graph, or a "dag" as it is sometimes called. A topological sort of a dag G = (V, E) is a linear ordering of all its vertices such that if G contains an edge (u, v), then u appears before v in the ordering. (If the graph is not acyclic, then no linear ordering is possible.) A topological sort of a graph can be viewed as an ordering of its vertices along a horizontal line so that all directed edges go from left to right. Topological sorting is thus different from the usual kind of "sorting" studied in Part II.

Directed acyclic graphs are used in many applications to indicate precedences among events. Figure 22.7 gives an example that arises when Professor Bumstead gets dressed in the morning. The professor must don certain garments before others (e.g., socks before shoes). Other items may be put on in any order (e.g., socks and pants). A directed edge (u, v) in the dag of Figure 22.7(a) indicates that garment u must be donned before garment v. A topological sort of this dag therefore gives an order for getting dressed. Figure 22.7(b) shows the topologically sorted dag as an ordering of vertices along a horizontal line such that all directed edges go from left to right.

Click To expand
Figure 22.7: (a) Professor Bumstead topologically sorts his clothing when getting dressed. Each directed edge (u, v) means that garment u must be put on before garment v. The discovery and finishing times from a depth-first search are shown next to each vertex. (b) The same graph shown topologically sorted. Its vertices are arranged from left to right in order of decreasing finishing time. Note that all directed edges go from left to right.

The following simple algorithm topologically sorts a dag.

TOPOLOGICAL-SORT(G)
1  call DFS(G) to compute finishing times f[v] for each vertex v
2  as each vertex is finished, insert it onto the front of a linked list
3  return the linked list of vertices

Figure 22.7(b) shows how the topologically sorted vertices appear in reverse order of their finishing times.

We can perform a topological sort in time Θ(V + E), since depth-first search takes Θ(V + E) time and it takes O(1) time to insert each of the |V| vertices onto the front of the linked list.

We prove the correctness of this algorithm using the following key lemma characterizing directed acyclic graphs.

Lemma 22.11
Start example

A directed graph G is acyclic if and only if a depth-first search of G yields no back edges.

Proof : Suppose that there is a back edge (u, v). Then, vertex v is an ancestor of vertex u in the depth-first forest. There is thus a path from v to u in G, and the back edge (u, v) completes a cycle.

: Suppose that G contains a cycle c. We show that a depth-first search of G yields a back edge. Let v be the first vertex to be discovered in c, and let (u, v) be the preceding edge in c. At time d[v], the vertices of c form a path of white vertices from v to u. By the white-path theorem, vertex u becomes a descendant of v in the depth-first forest. Therefore, (u, v) is a back edge.

End example
Theorem 22.12
Start example

TOPOLOGICAL-SORT (G) produces a topological sort of a directed acyclic graph G.

Proof Suppose that DFS is run on a given dag G = (V, E) to determine finishing times for its vertices. It suffices to show that for any pair of distinct vertices u, v V , if there is an edge in G from u to v, then f[v] < f[u]. Consider any edge (u, v) explored by DFS(G). When this edge is explored, v cannot be gray, since then v would be an ancestor of u and (u, v) would be a back edge, contradicting Lemma 22.11. Therefore, v must be either white or black. If v is white, it becomes a descendant of u, and so f[v] < f[u]. If v is black, it has already been finished, so that f[v] has already been set. Because we are still exploring from u, we have yet to assign a timestamp to f[u], and so once we do, we will have f[v] < f[u] as well. Thus, for any edge (u, v) in the dag, we have f[v] < f[u], proving the theorem.

End example
Exercises 22.4-1
Start example

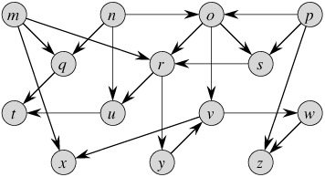
Show the ordering of vertices produced by TOPOLOGICAL-SORT when it is run on the dag of Figure 22.8, under the assumption of Exercise 22.3-2.

Click To expand
Figure 22.8: A dag for topological sorting.

End example
Exercises 22.4-2
Start example

Give a linear-time algorithm that takes as input a directed acyclic graph G = (V, E) and two vertices s and t, and returns the number of paths from s to t in G. For example, in the directed acyclic graph of Figure 22.8, there are exactly four paths from vertex p to vertex v: pov, por yv, posr yv, and psr yv. (Your algorithm only needs to count the paths, not list them.)

End example
Exercises 22.4-3
Start example

Give an algorithm that determines whether or not a given undirected graph G = (V, E) contains a cycle. Your algorithm should run in O(V) time, independent of |E|.

End example
Exercises 22.4-4
Start example

Prove or disprove: If a directed graph G contains cycles, then TOPOLOGICAL-SORT (G) produces a vertex ordering that minimizes the number of "bad" edges that are inconsistent with the ordering produced.

End example
Exercises 22.4-5
Start example

Another way to perform topological sorting on a directed acyclic graph G = (V, E) is to repeatedly find a vertex of in-degree 0, output it, and remove it and all of its outgoing edges from the graph. Explain how to implement this idea so that it runs in time O(V + E). What happens to this algorithm if G has cycles?

End example


Previous Section
 < Day Day Up > 
Next Section